
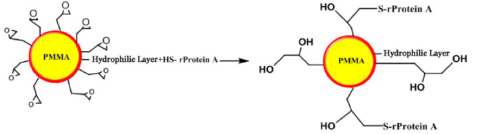
Protein A affinity chromatography medium by EPRUI is based on the monodisperse porous poly (methyl methacrylate) (PMMA) microspheres as the matrix, and genetically modified protein A as the ligand, which ensures its high affinity binding of monoclonal antibodies and Fc fragment containing recombinant proteins (macromolecules).
Our protein A chromatography media has high mechanical strength and good pH stability. Even at a high flow rate, the beads still maintained a high dynamic binding capacity, meeting the demands from laboratory preparation to industrial production.

Applications Instructions
- Replace 20% ethanol preservation solution with pure water before use
- Rinse and equilibrate the column with eluent, such as 100 mM Gly, pH 3.0 and equilibration solution, such as 20 mM PBS, 150 mM NaCl, pH 7.0
- Injection,wash with 10 CV balance solution until baseline balance
- Elution, wash with 15 CV eluent until baseline balance
- Rebalance,wash with 15 CV balance solution until baseline balance
- After using,first use pure water to replace the buffer salt in column, and then store in 20% ethanol.
Note: During the analysis process, both the sample and the mobile phase must be filtered with a membrane with pore size of 0.45 μm.
Example: Antibody capture in horse plasma samples
Protein A affinity chromatography has great performance when capture antibody in horse plasma samples.

Binding Buffer: 20 mM PB, 150 mM NaCl, pH 7.0; Elution Buffer: 100 mM Gly, pH 3.0.